Расставьте коэффициенты в уравнениях окислительно-восстановительных реакций методом электронного баланса Zn+HNO3→Zn(NO3)2+NH4NO3+H2O
Ответы
Ответ дал:
0
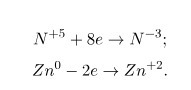
всё легко...........................................
Приложения:


Вас заинтересует
3 года назад
3 года назад
9 лет назад
9 лет назад
9 лет назад
9 лет назад