• Предмет: Математика
  • Автор: anastas8594
  • Вопрос задан 8 лет назад

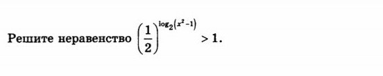
Решите неравенство (1/2)^log2(x²-1)>1

Приложения:

Ответы

Ответ дал: kirichekov
0
решение во вложении...
Приложения:
Вас заинтересует