Ответы
Ответ дал:
0
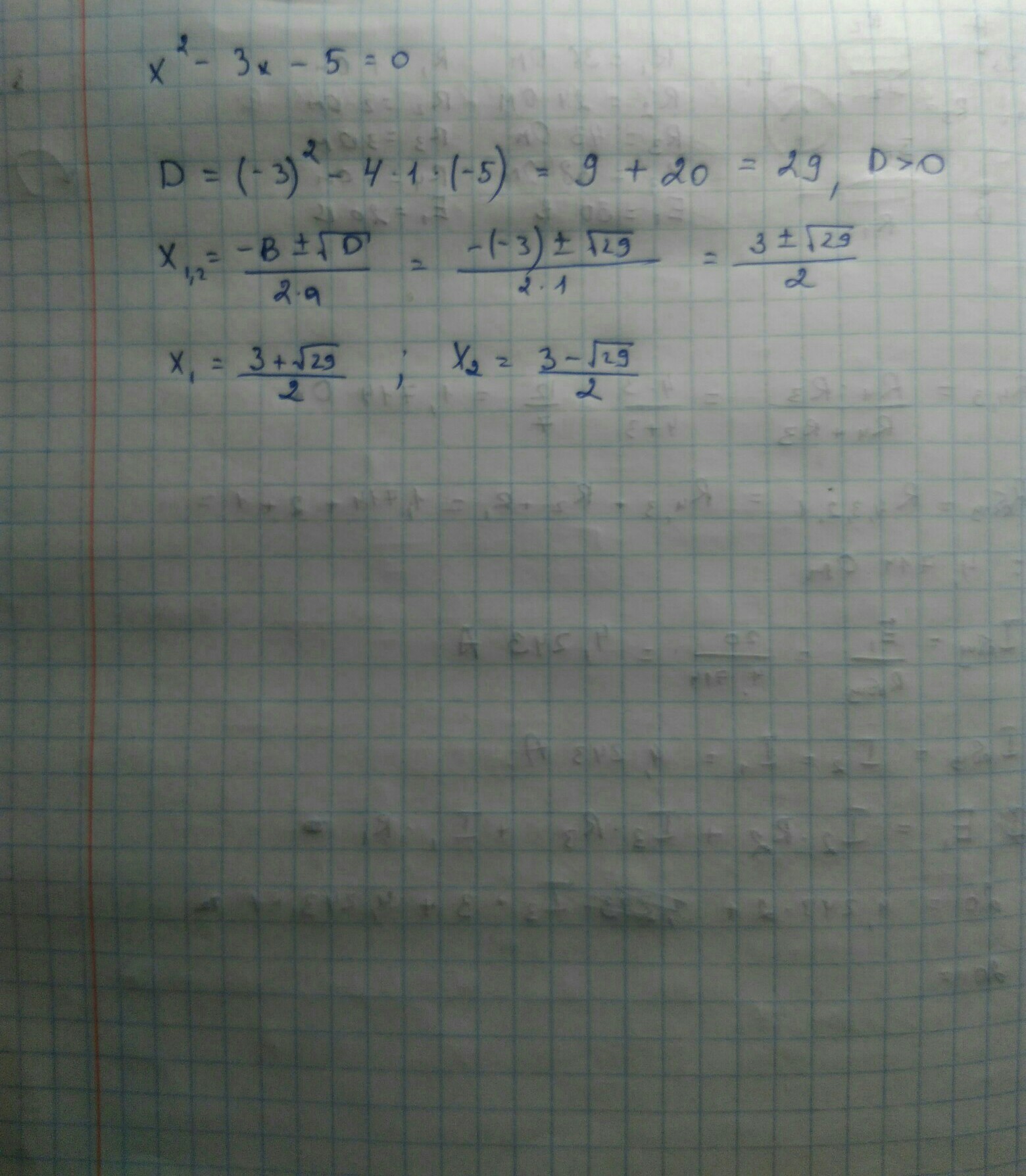
Д=3²+4*5=29
X=(3±корень из 29)/2
X=(3±корень из 29)/2
Ответ дал:
0
Спасибо
Ответ дал:
0
...........................................
Приложения:

Ответ дал:
0
Спасибо друзья
Вас заинтересует
2 года назад
9 лет назад
9 лет назад
9 лет назад
9 лет назад