• Предмет: Математика
  • Автор: Dtsuga1993
  • Вопрос задан 8 лет назад

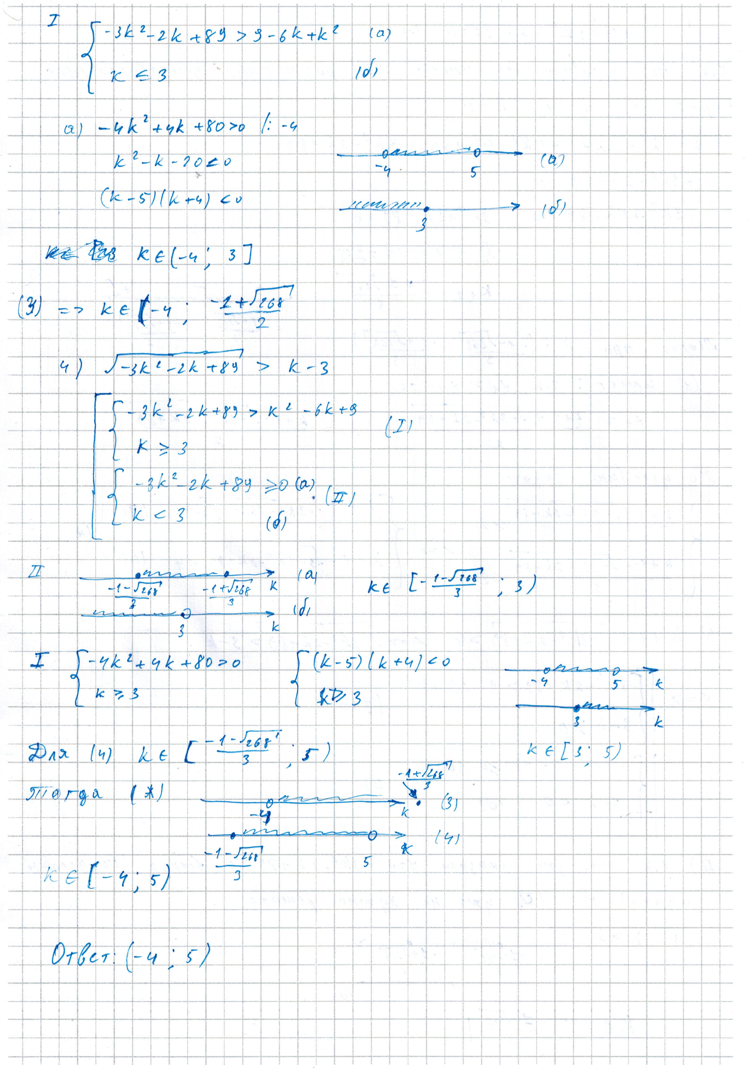
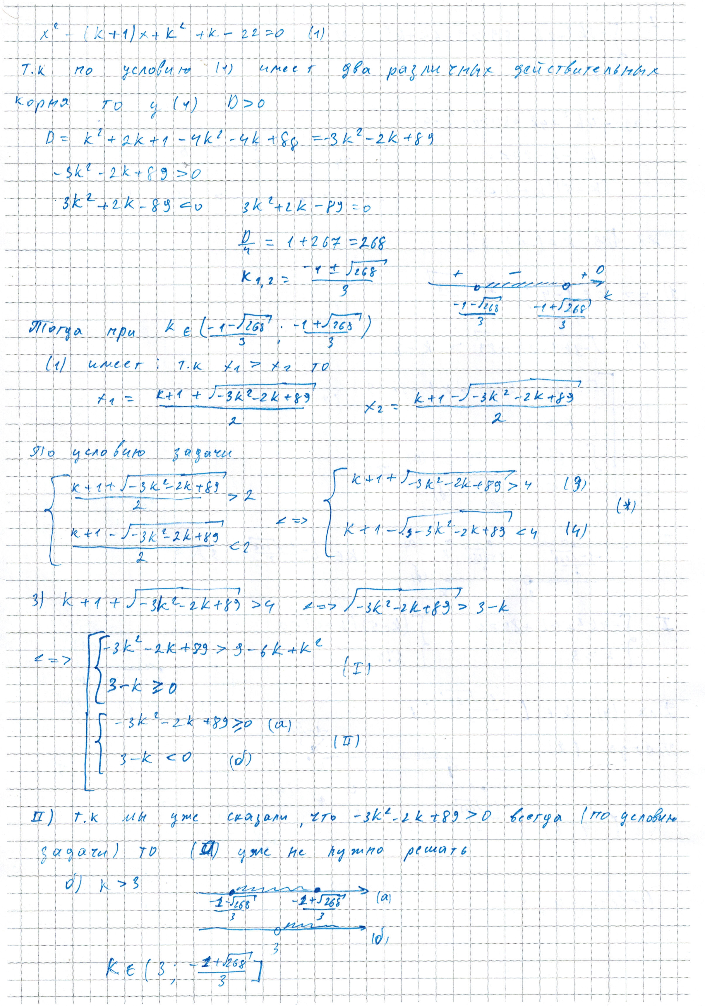
x^2-(k+1)x+k^2+k-22=0
x1>2 и x2<2
ķ=?
помогите пожалуйста. никак не могу решать. вообще не получается

Ответы

Ответ дал: vaskovskie91
0

Добрый день! Решение см. фото

** Также прикрепляю решение вопроса, в котором я "гневно" прокомментировал ваше решение. :) Удачи!


Приложения:
Ответ дал: Dtsuga1993
0
спасибо большое
Вас заинтересует