• Предмет: Математика
  • Автор: kiGma
  • Вопрос задан 8 лет назад

Помогите решить полностью,спс заранее

Приложения:

Ответы

Ответ дал: nuwka81
0
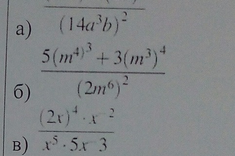
б)5m^12+3m^12/4m^12=8m^12/4m^12=2m
в)4x^4*x/x^5*5=16x^4/x^4/x^4*5=16/5
Ответ дал: kigmaaaaa
0
там видно вариант А
Ответ дал: nuwka81
0
343a^6*4b^/196a^6b^=343/49
Ответ дал: nuwka81
0
готово!
Ответ дал: kigmaaaaa
0
ок спс,3 варианта решили
Ответ дал: kigmaaaaa
0
Если хотите еще https://znanija.com/task/31148559,тут 20 баллов) а то никто не хочет(
Вас заинтересует