Ответы
Ответ дал:
0
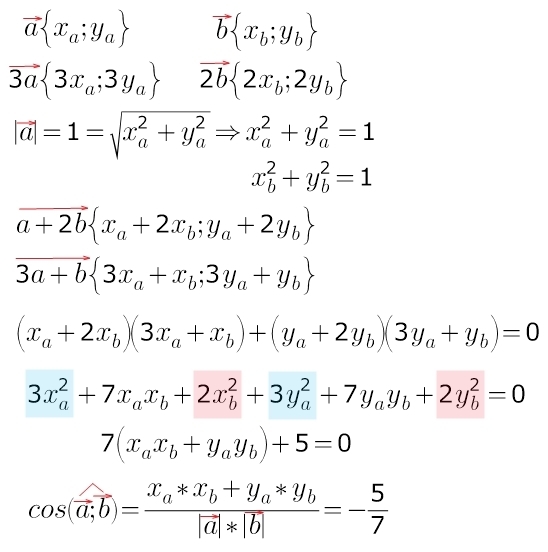
при умножении вектора на число просто умножаются на это число координаты вектора...
при сложении векторов просто складываются соответствующие координаты этих векторов...
условие перпендикулярности векторов--равенство нулю их скалярного произведения; скалярное произведение векторов=сумме произведений соответствующих координат...
осталось записать все это и раскрыть скобки...
Приложения:

Вас заинтересует
2 года назад
2 года назад
3 года назад
9 лет назад
9 лет назад
9 лет назад