• Предмет: Алгебра
  • Автор: Аноним
  • Вопрос задан 8 лет назад

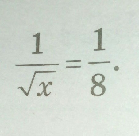
Найдите корень уравнения

Приложения:

Ответы

Ответ дал: NoHacker
0
Корень из Х=64, так как 8×8=64
Ответ дал: Аноним
0
1/√х=1/8
√х=8
х=64
1/√64=1/8
1/8=1/8
х=64
Вас заинтересует