• Предмет: Алгебра
  • Автор: Попроошайка
  • Вопрос задан 8 лет назад

Помогите!! алгебра.... нужно найти указанные пределы.. даю все баллы, что есть..

Приложения:

Ответы

Ответ дал: wturm
0

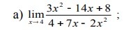
lim(x - > 4) frac{3 {x}^{2} - 14x + 8 }{4 + 7x - 2 {x}^{2} }  =  | frac{0}{0} |  = lim(x -  > 4) frac{(x - 4)( x -  frac{2}{3}) }{(x +  frac{1}{2})(x - 4) }  = lim(x -  > 4) frac{x -  frac{2}{3} }{x +  frac{1}{2} }  =  frac{4  -   frac{2}{3} }{4 +  frac{1}{3} }  =  frac{10}{3}  times  frac{3}{13}  =  frac{10}{13}
Вас заинтересует