• Предмет: Алгебра
  • Автор: dkostylevskij
  • Вопрос задан 8 лет назад

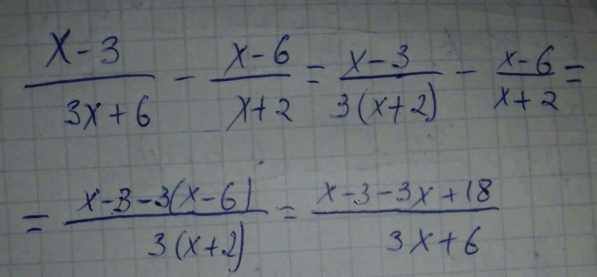
Выполните действие:
x-3/3x+6 - x-6/x+2

Ответы

Ответ дал: vinchester70
0
Ответ смотрите в приложении
Приложения:
Ответ дал: dkostylevskij
0
Спасибо вам большое
Ответ дал: matilda17562
0
Последние преобразования числителя ( приведение подобных слагаемых) не выполнены.
Вас заинтересует