• Предмет: Алгебра
  • Автор: nel8112002
  • Вопрос задан 8 лет назад

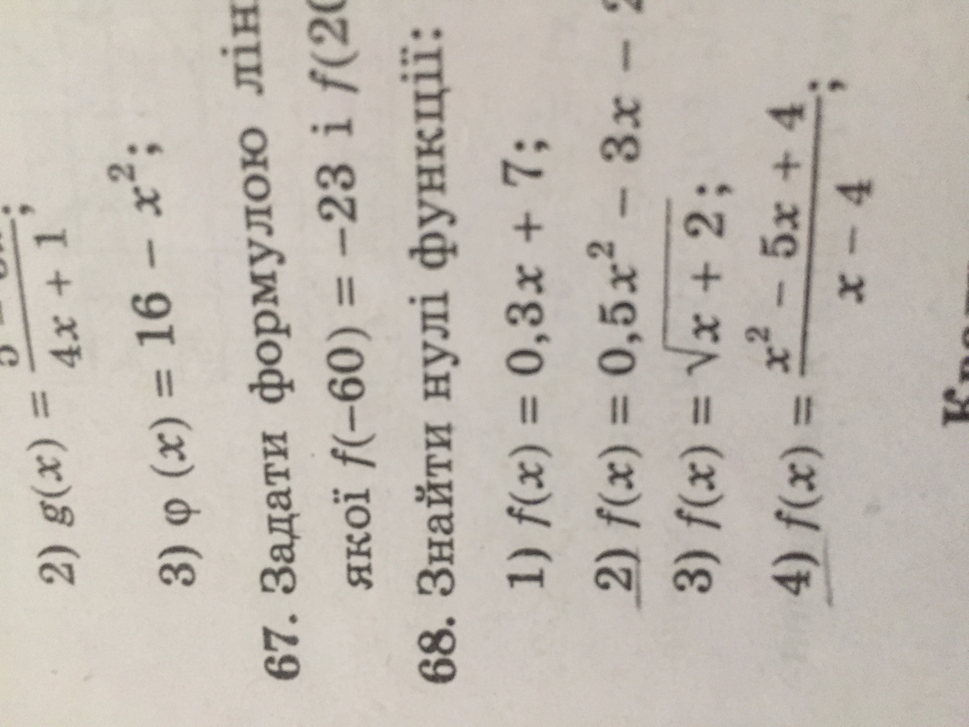
Ребят помогите найти нули функции первое задание

Приложения:

Ответы

Ответ дал: Shamigo
0
Построй график функции, первое это прямая, второе это парабола, третье корень из х, третье гипербола, и там где на оси х пересекается твой график таков и будет ответ, могу сказать точно, что 3 график не пересекается, обычная гипербола всегда приближается, но никогда не приблизиться к ней
Ответ дал: nel8112002
0
Там надо просто найти нули
Вас заинтересует