Ответы
Ответ дал:
0
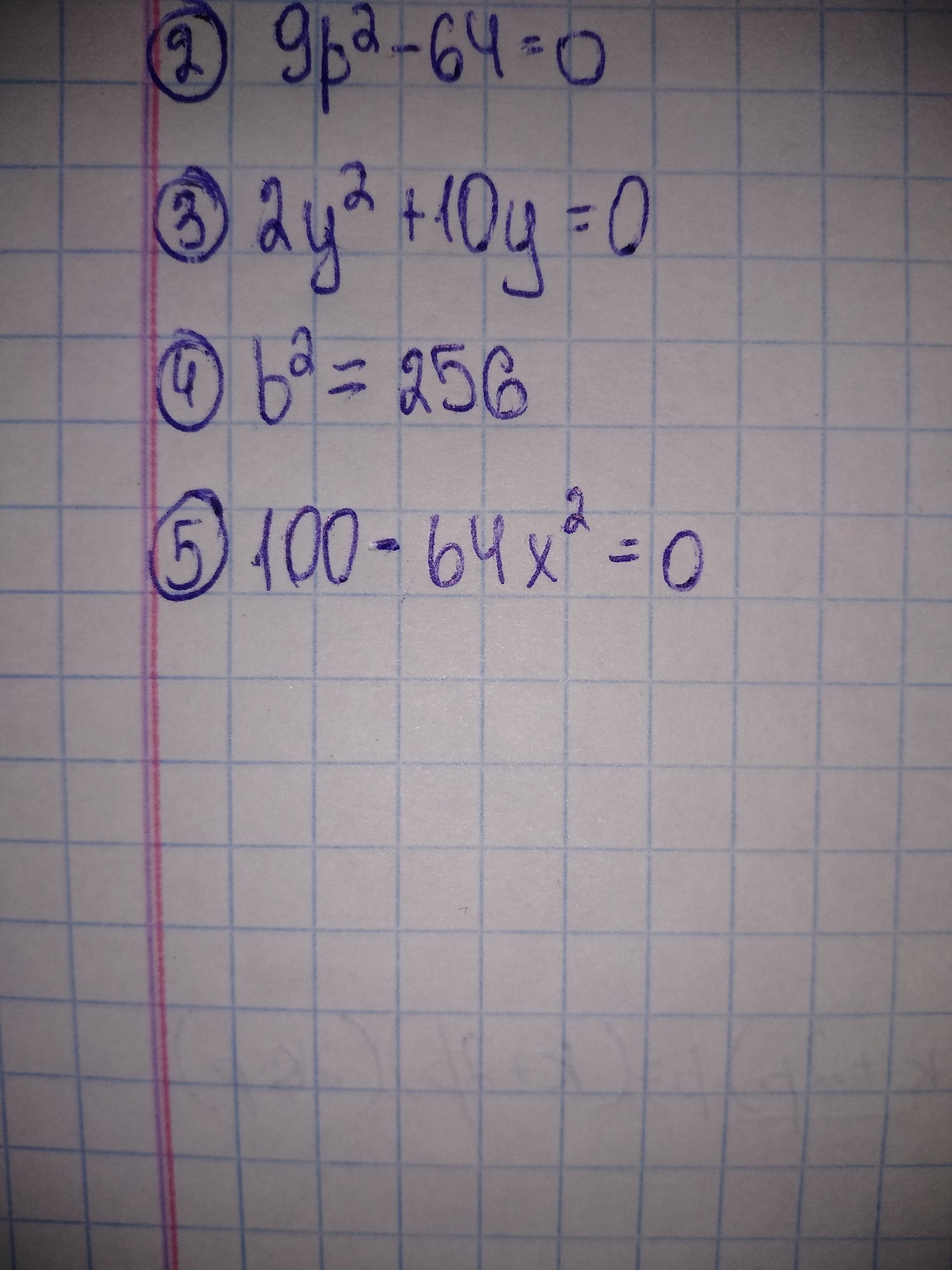
2)9p²-64=0
9p²=64
p²=64/9
p²=(8/3)²
|p|=8/3
p=±8/3
3)2y²+10y=0
2y(y+5)=0
y=0
y+5=0;y=-5
5)100-64x²=0
64x²=100
x²=(10/8)²
|x|=10/8=5/4
x=±5/4
9p²=64
p²=64/9
p²=(8/3)²
|p|=8/3
p=±8/3
3)2y²+10y=0
2y(y+5)=0
y=0
y+5=0;y=-5
5)100-64x²=0
64x²=100
x²=(10/8)²
|x|=10/8=5/4
x=±5/4
Вас заинтересует
2 года назад
2 года назад
3 года назад
3 года назад
9 лет назад
9 лет назад