блин решите пожалуйста!(завтра сдавать уже(
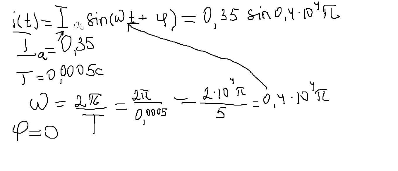
Составить уравнение гармонического колебания силы тока в колебательном контуре, если амплитудное значение тока равно 0,35 А и период колебания 0,0005с. Начальная фаза колебания равна нулю.
Ответы
Ответ дал:
0
V FAILE............
Приложения:
Вас заинтересует
3 года назад
3 года назад
8 лет назад
8 лет назад
11 лет назад
11 лет назад
11 лет назад