• Предмет: Алгебра
  • Автор: august1403
  • Вопрос задан 8 лет назад

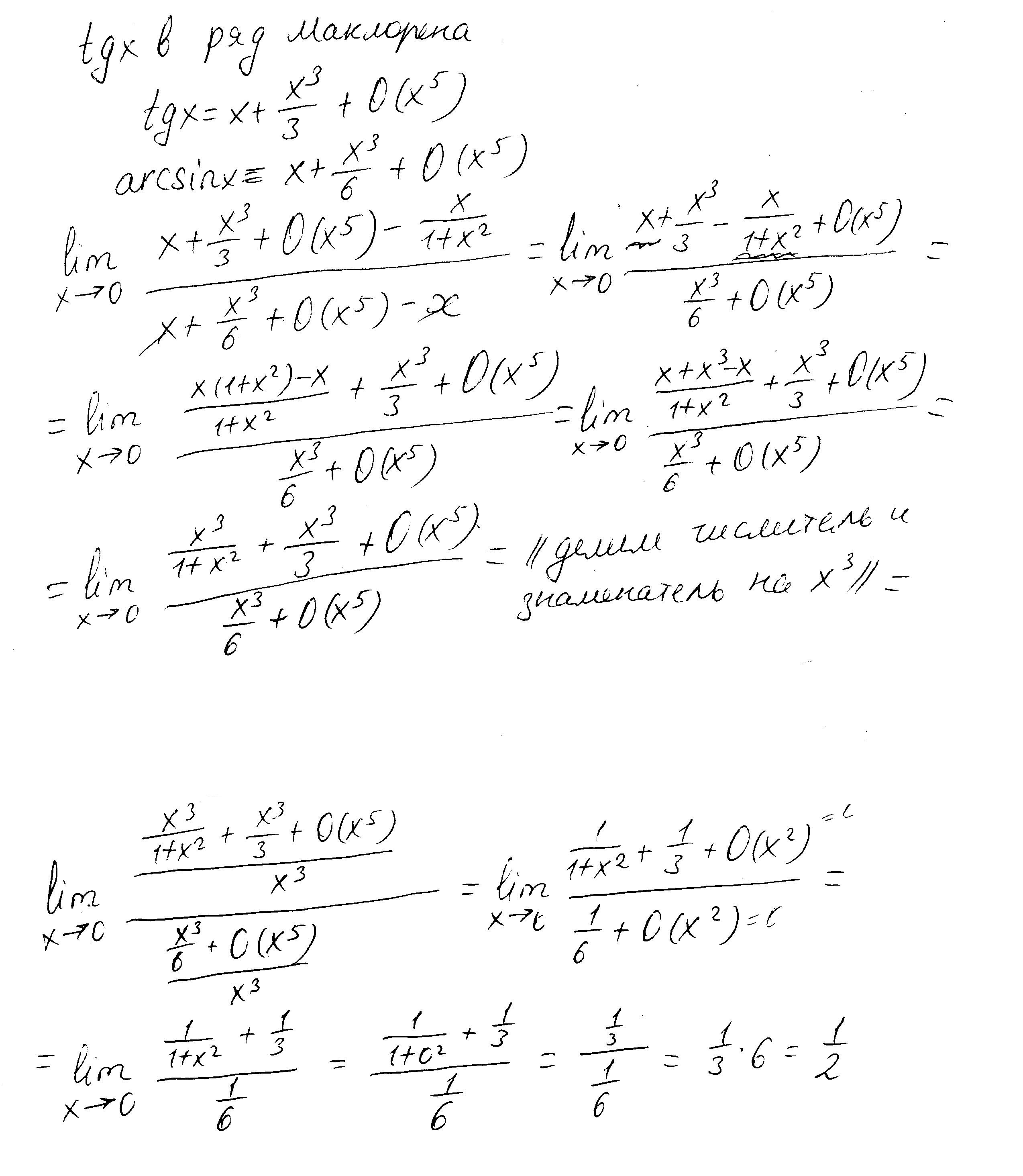
Вычислить предел по правилу тейлора

Приложения:

Ответы

Ответ дал: bearcab
0

Ответ: 0,5.

Решение смотри в приложении.

Приложения:
Вас заинтересует