• Предмет: Математика
  • Автор: kyso4ek311
  • Вопрос задан 8 лет назад

Тригонометрия просто решить

Приложения:

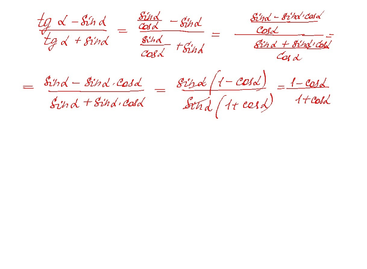
Ответы

Ответ дал: vavdovina55
0

Ответ:


Пошаговое объяснение:


Приложения:
Ответ дал: krolikzajcev
0

frac{tg x(1-cos x)}{tg x(1+cos x)} =frac{(1-cos x)}{(1+cos x)}=frac{2sin^2(x/2)}{2cos^2(x/2)} =tg^2(x/2)

Приложения:
Вас заинтересует