• Предмет: Алгебра
  • Автор: димаБ100
  • Вопрос задан 8 лет назад

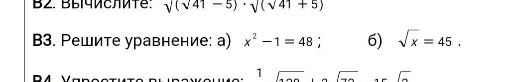
только в3 с решением пожалуйста сделайте на лестке и прикрепите сюда буду рад заранее спасибо огромное!!!

Приложения:

Ответы

Ответ дал: michindjeva
0
решение смотри на фото
Приложения:
Вас заинтересует