• Предмет: Физика
  • Автор: milkad220133
  • Вопрос задан 8 лет назад

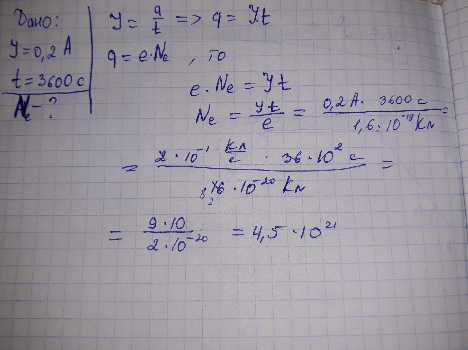
сила тока в спиралей электрической лампочки I=0.20A .Сколько электронов прошло через поперечное сечение спиральной лампочки в течение часа?

Ответы

Ответ дал: rhadegh
0
..............................
Приложения:
Вас заинтересует