Две стороны треугольника равны 14 и 22. Медиана, проведенная к третьей стороне равна 12 см. Найдите третью сторону.(без формулы медианы,косинусов)
Ответы
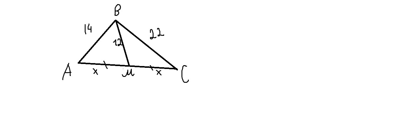
Пусть имеем искомый треугольник ABC, в котором AB=14, BC=22. Из вершины B проведем медиану BM, BM=12. Необходимо найти величину стороны AC.
Обозначим АС=2x, тогда AM=CM=x, т.к. M - середина AC ( BM - медиана). По свойству медианы, она делит треугольник на два равновеликих треугольника (треугольники, у которых равны площади). Поскольку BM - медиана в треугольнике ABC, то S(ABM)=S(CBM) по вышеописанному свойству.
1). По формуле площади треугольника Герона имеем:
S(ABM)=√p*(p-AB)*(p-BM)*(p-AM), где p - полупериметр треугольника ABM;
p=(AB+BM+AM)/2=(14+12+x)/2=7+6+0,5*x=13+0,5*x;
Тогда, S(ABM)=√(13+0,5*x)*(13+0,5*x-14)*(13+0,5*x-12)*(13+0,5*x-x)=√(13+0,5*x)*(0,5*x-1)*(0,5*x+1)*(13-0,5*x);
Используя формулу разности квадратов, можем привести к следующему виду:
S(ABM)=√(169-0,25*x²)*(0,25*x²-1);
2). Аналогично, S(CBM)=√p*(p-MB)*(p-MC)*(p-BC), где p - полупериметр треугольника CBM;
p=(MB+MC+BC)/2=(12+x+22)/2=6+11+0,5*x=17+0,5*x;
Тогда, S(CBM)=√(17+0,5*x)*(17+0,5*x-12)*(17+0,5*x-x)*(17+0,5*x-22)=√(17+0,5*x)*(0,5*x+5)*(17-0,5*x)*(0,5*x-5);
Используя формулу разности квадратов, можем привести к следующему виду:
S(CBM)=√(289-0,25*x²)*(0,25*x²-25);
3). Т.к. по вышедоказанному S(ABM)=S(CBM), то подставив полученные вычисления, получаем:
√(169-0,25*x²)*(0,25*x²-1)=√(289-0,25*x²)*(0,25*x²-25);
Возведем обе части в квадрат:
(169-0,25*x²)*(0,25*x²-1)=(289-0,25*x²)*(0,25*x²-25);
42,25*x²-0,0625*x²-169+0,25*x²=72,25*x²-0,0625*x²-7225+6,25x²;
42,5*x²-169=78,5x²-7225;
36*x²=7056;
x²=196;
x=±14, но так как x - это величина стороны, то (-14) - посторонний корень;
4). АС=2x=2*14=28, что и требовалось найти;
Ответ: AC=28.
