Упрости уравнение
2^2=1^2+x^2
я уже начал делать и знаю, что в левой части будет 4= а дальше не получается
Ответы
Ответ дал:
0
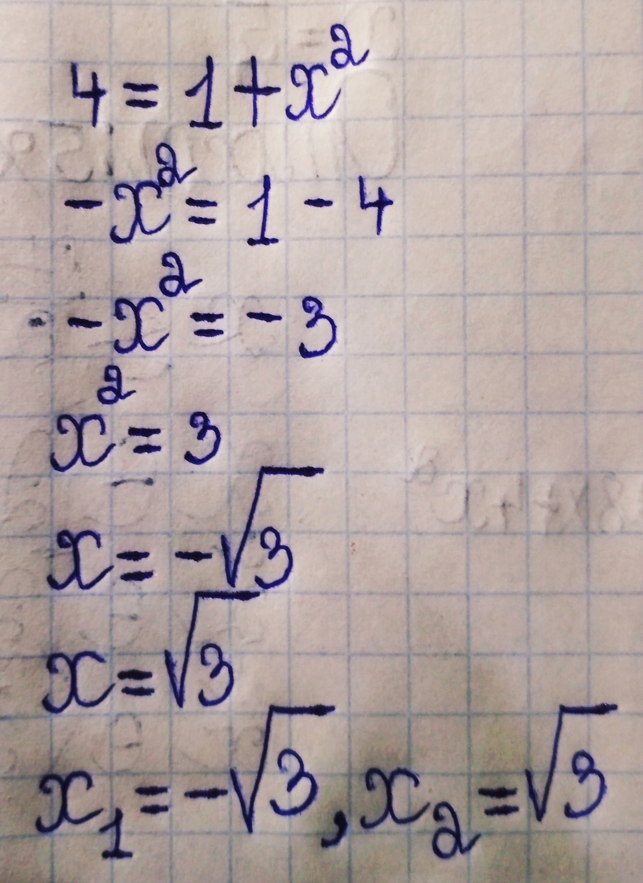
2^2=1^2+х^2
4=1+х^2
-х^2=1-4
-х^2=3
х1=-√3
х2=√3
4=1+х^2
-х^2=1-4
-х^2=3
х1=-√3
х2=√3
Ответ дал:
0
Добрый вечер! Вы можете по подробнее написать?
Ответ дал:
0
всё теперь нормально.
Ответ дал:
0
что нормально?
Ответ дал:
0
В сайте ошибка была!
Ответ дал:
0
вот!
Ответ дал:
0
подробное решение уравнения методом извлечения квадратного корня на изображении.
Приложения:

Вас заинтересует
2 года назад
2 года назад
3 года назад
3 года назад
9 лет назад
9 лет назад