• Предмет: Геометрия
  • Автор: keneksi001
  • Вопрос задан 8 лет назад

Помогите пожалуйста!

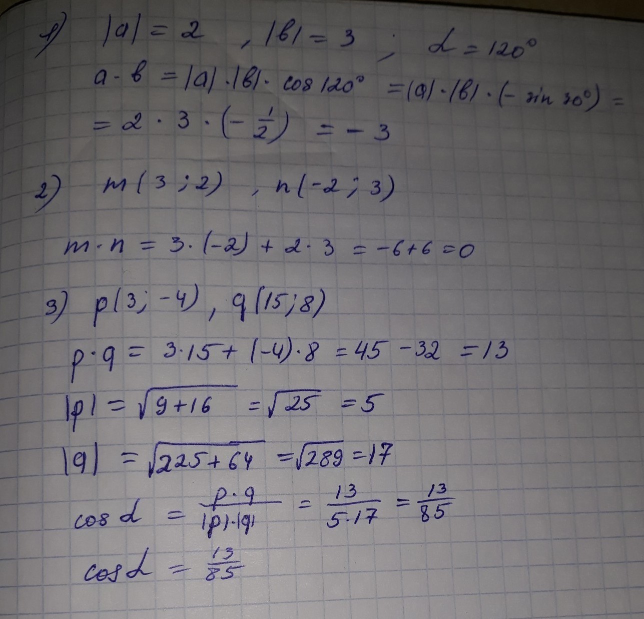
1) Вычислите скалярное произведение векторов a и b если |a|=2, |b|=3 а угол между ними равен 120°

2) Вычисление скалярное произведение векторов m и n если m{3;2}, n{-2;3}

3) Вычислите косинус угла между векторами p и q если p{3;-4}, q{15;8}

Ответы

Ответ дал: rhadegh
0
...........................
Приложения:
Вас заинтересует