Ответы
Ответ дал:
0
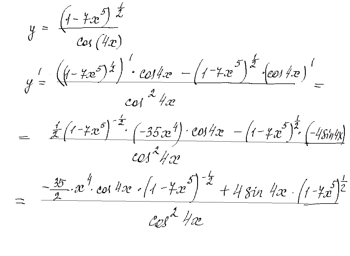
Ответ:
Пошаговое объяснение:
Приложения:

Ответ дал:
0
формула (u/v)'?
Ответ дал:
0
да, производная частного
Вас заинтересует
2 года назад
3 года назад
3 года назад
9 лет назад