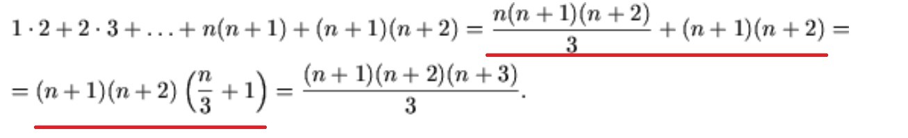
Я хотел бы узнать как произошло преобразование из одного выражения в другое (подчеркнуты красным цветом).
Приложения:

Ответы
Ответ дал:
0
Ответ:
здесь две скобки вынесли как общий множитель( n+1) и (n+2)
Пошаговое объяснение:
Ответ дал:
0
то что вынесли 2 скобки
Вас заинтересует
2 года назад
2 года назад
3 года назад
3 года назад
8 лет назад
8 лет назад
9 лет назад