Ответы
Ответ дал:
0
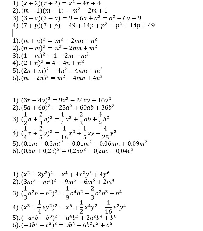
см. вложение......................
Приложения:

Ответ дал:
0
Спасибо, вы меня спасли!
Вас заинтересует
2 года назад
2 года назад
3 года назад
3 года назад
8 лет назад
8 лет назад