• Предмет: Алгебра
  • Автор: 345466
  • Вопрос задан 8 лет назад

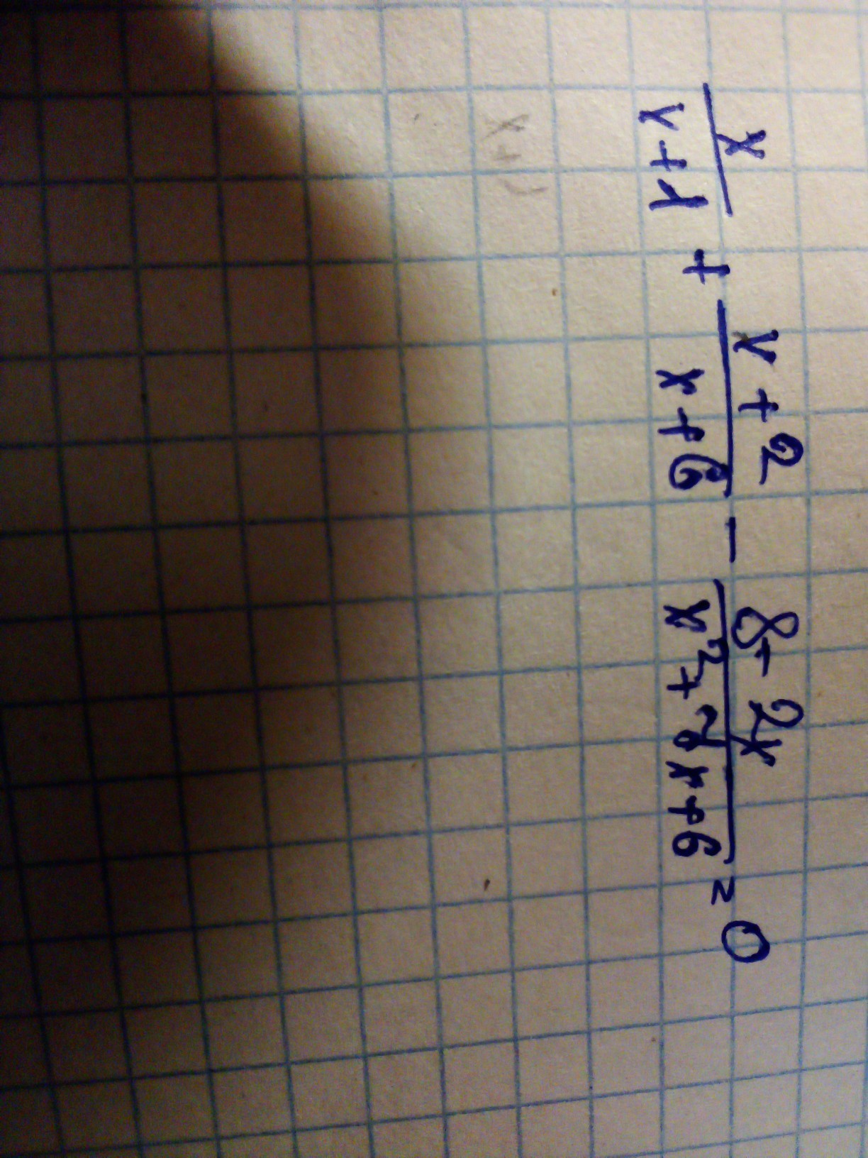
как найти корни уравнения ?

Приложения:

Ответы

Ответ дал: Vasily1975
0

Заметим, что x²+7*x+6=(x+1)*(x+6). Умножив первую дробь на x+6, а вторую - на x+1, мы приведём все три дроби к общему знаменателю x²+7*x+6. После приведения подобных членов в числителе получится уравнение:

(2*x²+11*x-6)/(x²+7*x+6)=0. Решая уравнение 2*x²+11*x-6=0, находим его корни x1=1/2, x2=-6. Но значение x=-6 не удовлетворяет исходному уравнению, так как знаменатели второй и третьей дробей при этом обращаются в 0. Значит, x=1/2=0,5. Ответ: x=1/2=0,5.


Вас заинтересует