Ответы
Ответ дал:
0
Ответ:
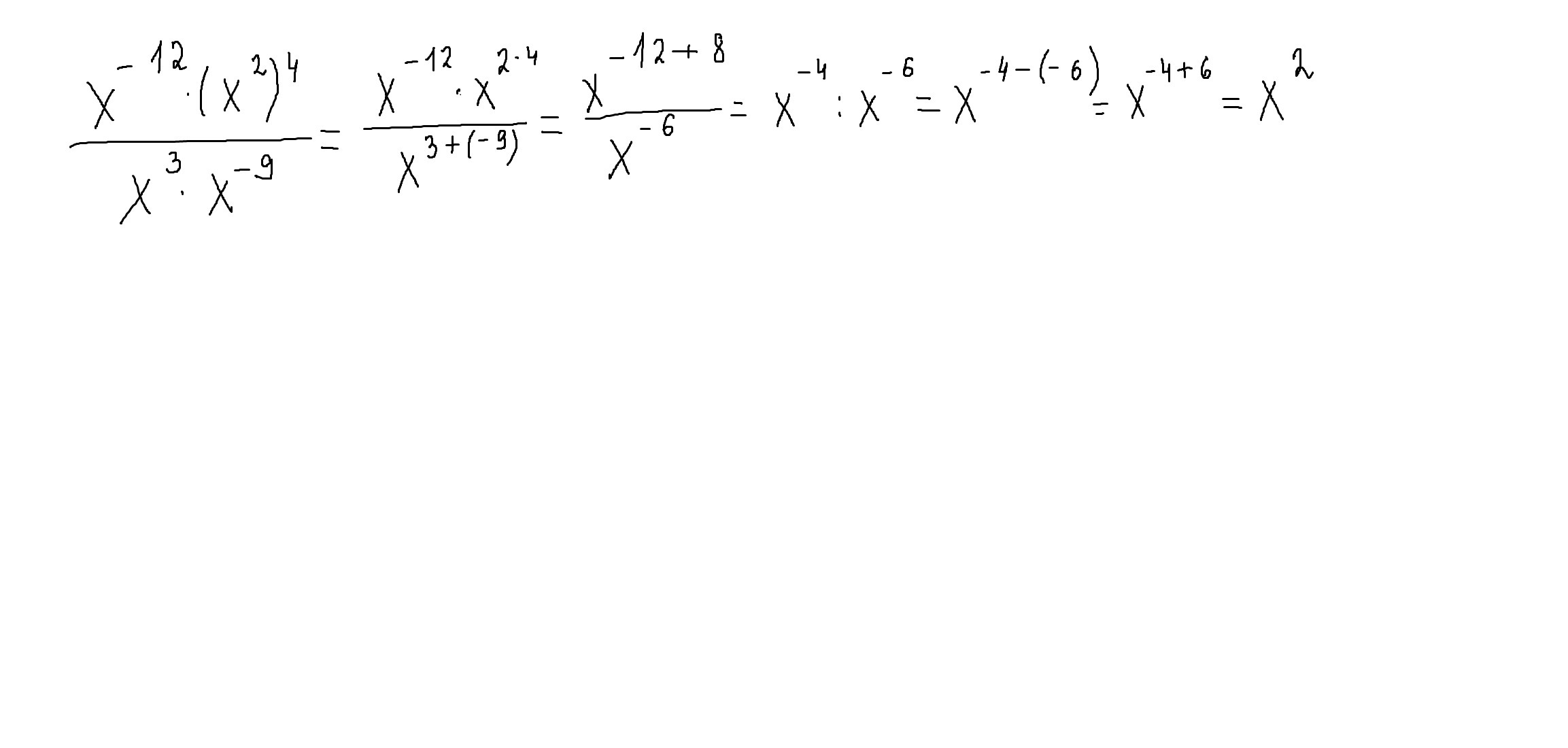
применяя св-во степеней получаем решение(если я правильно разобрала ваше условие)
Приложения:


Вас заинтересует
2 года назад
3 года назад
3 года назад
8 лет назад
8 лет назад