• Предмет: Математика
  • Автор: irmafox
  • Вопрос задан 8 лет назад

СРОЧНО!АЛГЕБРА 8 КЛАСС.Запишите не просто ответ, а с решением.

Приложения:

Ответы

Ответ дал: CHEATxCAT
0

Ответ:

  3

--------

125a^20y^31

Пошаговое объяснение:


Ответ дал: parus77
0

Ответ:

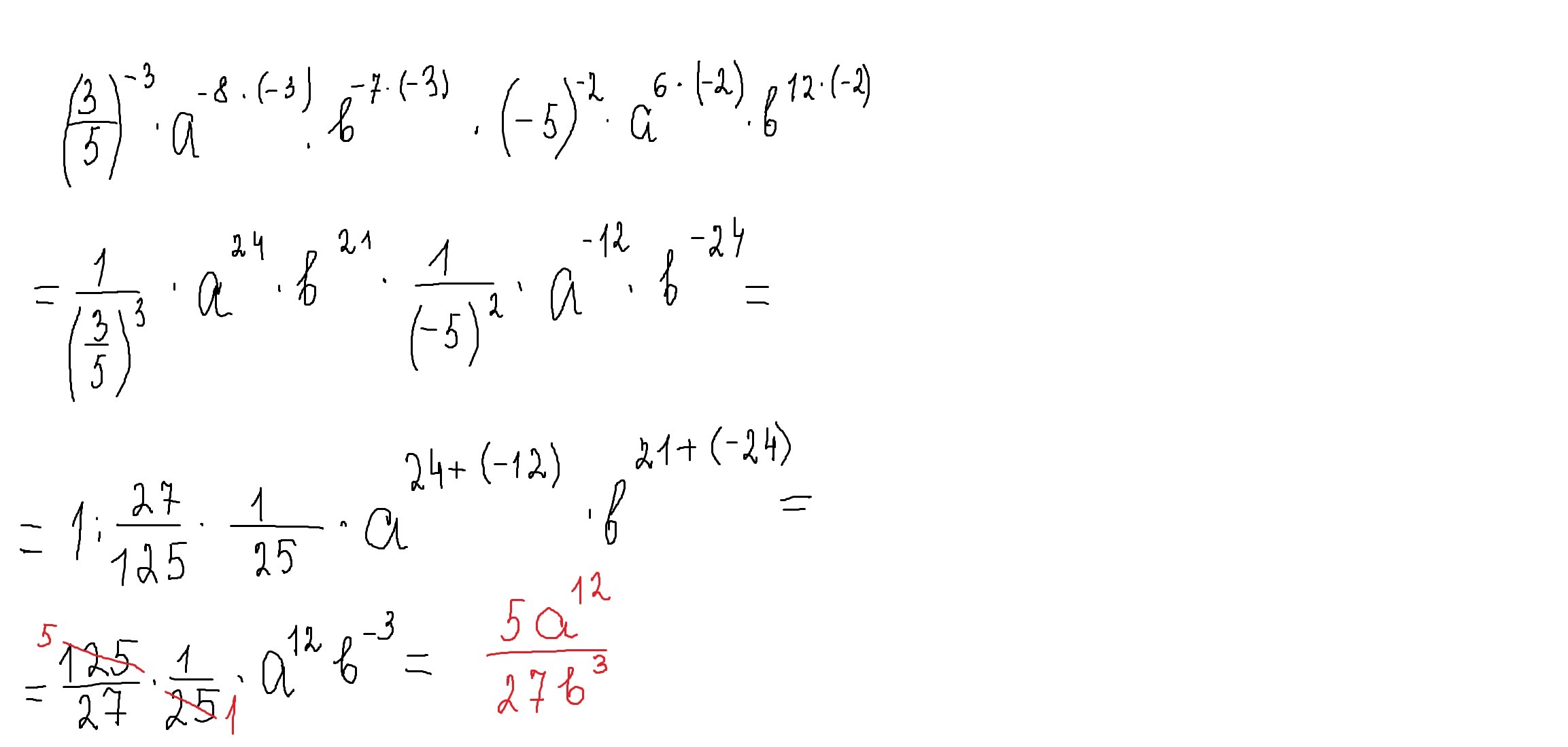
решение смотри внизу,пользуемся св-вом степеней



Приложения:
Ответ дал: irmafox
0
Спасибо, всё очень понятно
Ответ дал: parus77
0
пожалуйста.
Вас заинтересует