• Предмет: Алгебра
  • Автор: OMGnastya12
  • Вопрос задан 8 лет назад

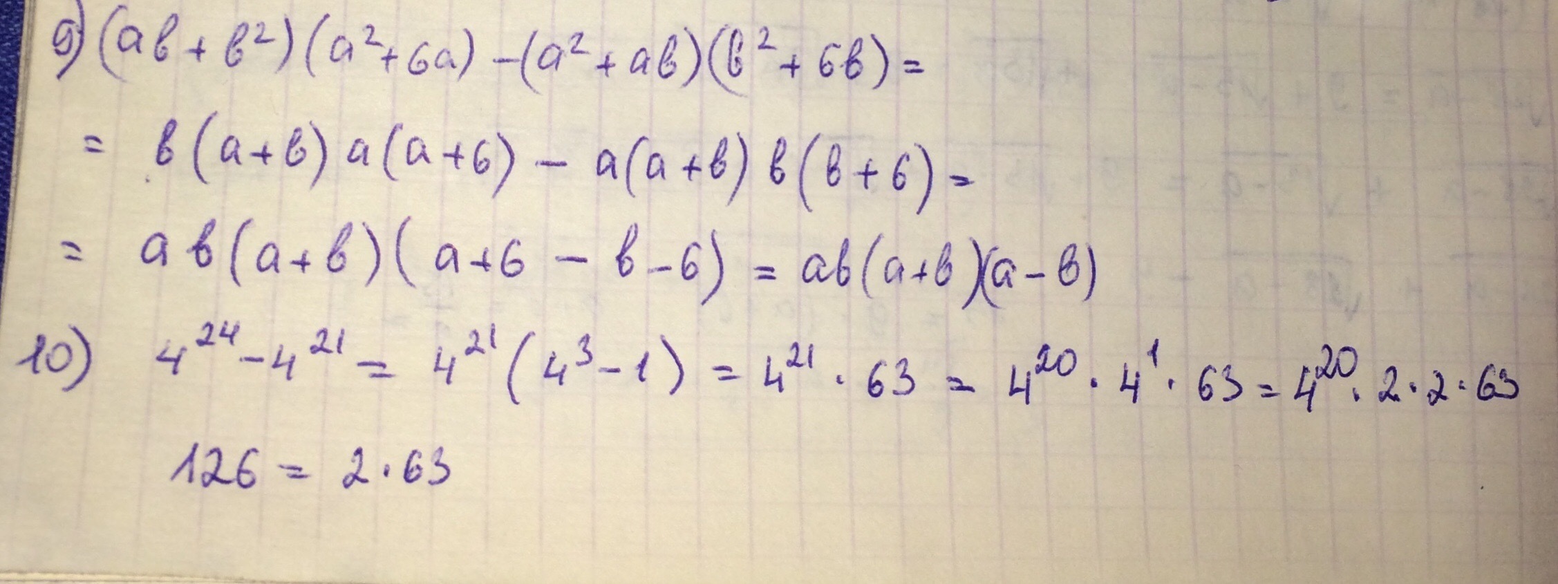
Номера 10 и 9, помогите пожалуйста!!!

Приложения:

Ответы

Ответ дал: tatnik12
0

9. Вынесем общий множитель в первом слагаемом и во втором слагаемом. Теперь определился общий множитель для обоих слагаемых.

10. В выражении вынесем общий множитель и запишем выражение как на фото. Число 126 запишем в виде произведения 126=2*63. Теперь видно, что значение данного выражения кратно 126.

Приложения:
Вас заинтересует