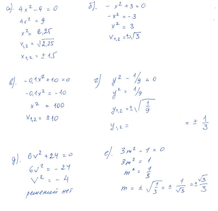
Найдите корни уравнения:
а) 4х^2 - 9 = 0; в) -0,1х^2 + 10 = 0; д) 6v^2 + 24 = 0;
б) -х^2 + 3 = 0; г) у^2 - 1/9 = 0; е) 3m^2 - 1 = 0.
Ответы
Ответ дал:
0
a)x^2 = 9/4, x = +(-)3/2.
б)x^2 = 3, x = +(-) корень из 3
в)x^2 = 100, x = +(-) 10
г)y^2 = 1/9, y =+(-) 1/3
д)v^2 = -4 , нет решений
e)m^2 = 1/3, m = +(-) 1/(корень из 3)
Ответ дал:
0
!!!!!!!!!!!!!!!!!!!!!!!!!!!!!!!
Приложения:

Вас заинтересует
2 года назад
2 года назад
3 года назад
9 лет назад