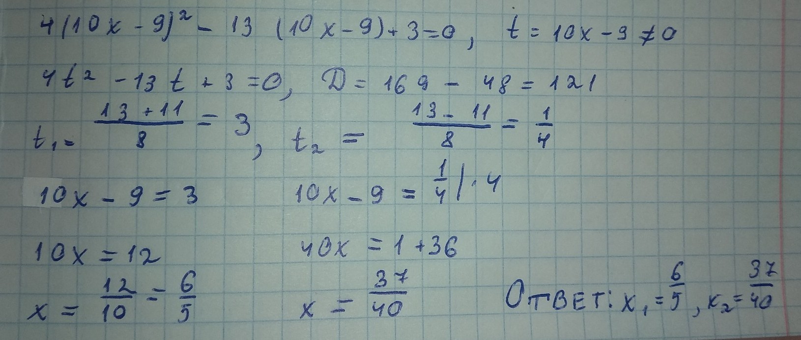
Реши квадратное уравнение 4(10x−9)2−13(10x−9)+3=0
(первым вводи больший корень)
x1=
; x2=
Дополнительный вопрос:
Какой метод рациональнее использовать?
Метод введения новой переменной
Раскрывание скобок
Разложение на множители
Вынесение за скобку
пожалуйста 20 балов
Ответы
Ответ дал:
0
x1=6/5, x2=37/40; Метод введения новой переменной самый рациональный
Приложения:

Вас заинтересует
2 года назад
3 года назад
9 лет назад