• Предмет: Математика
  • Автор: GAMEMASSACRE
  • Вопрос задан 8 лет назад

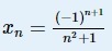
Найти второй член последовательности {xn}

Приложения:

Ответы

Ответ дал: Беня2018
0

Ответ:


Пошаговое объяснение:

x₂=(-1)²⁺¹/(2²+1)=-1³/(4+1)=-1/5

Вас заинтересует