Ответы
Ответ дал:
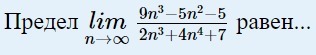
0
Ответ
неопред беск/беск. решается делением на переменную с большей степенью. сверху все стремится к 0, снизу 4. получается 0/4 = 0
Пошаговое объяснение:
Приложения:

Вас заинтересует
2 года назад
2 года назад
3 года назад
3 года назад
9 лет назад
9 лет назад
9 лет назад