• Предмет: Геометрия
  • Автор: dashashishkina0456
  • Вопрос задан 8 лет назад

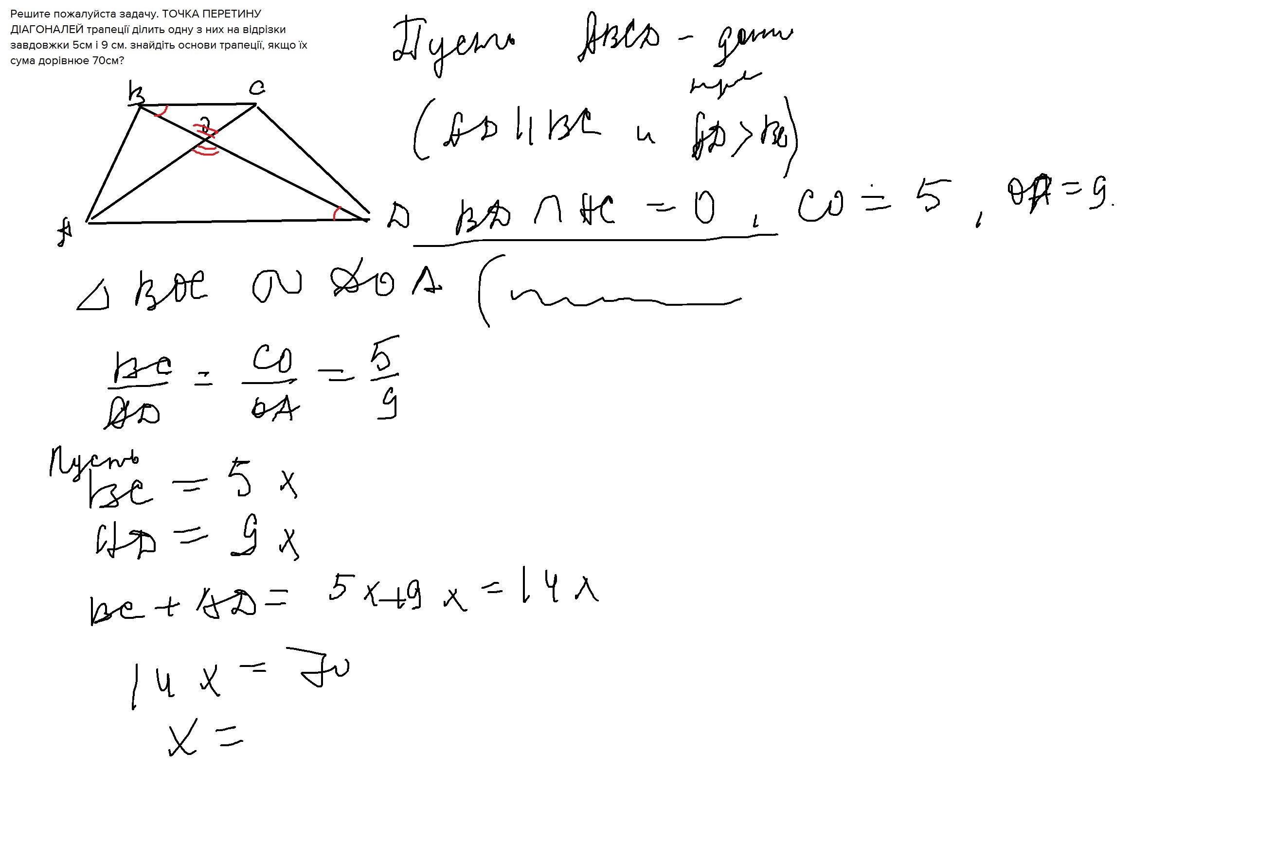
решите пожалуйста задачу. ТОЧКА ПЕРЕТИНУ ДІАГОНАЛЕЙ трапеції ділить одну з них на відрізки завдовжки 5см і 9 см. знайдіть основи трапеції, якщо їх сума дорівнюе 70см?

Ответы

Ответ дал: vikll
0

решите пожалуйста задачу. ТОЧКА ПЕРЕТИНУ ДІАГОНАЛЕЙ трапеції ділить одну з них на відрізки завдовжки 5см і 9 см. знайдіть основи трапеції, якщо їх сума дорівнюе 70см?

Приложения:
Вас заинтересует