Ответы
Ответ дал:
0
надеюсь мой почерк понятный
Приложения:

Ответ дал:
0
спасибо, да понятный
Ответ дал:
0
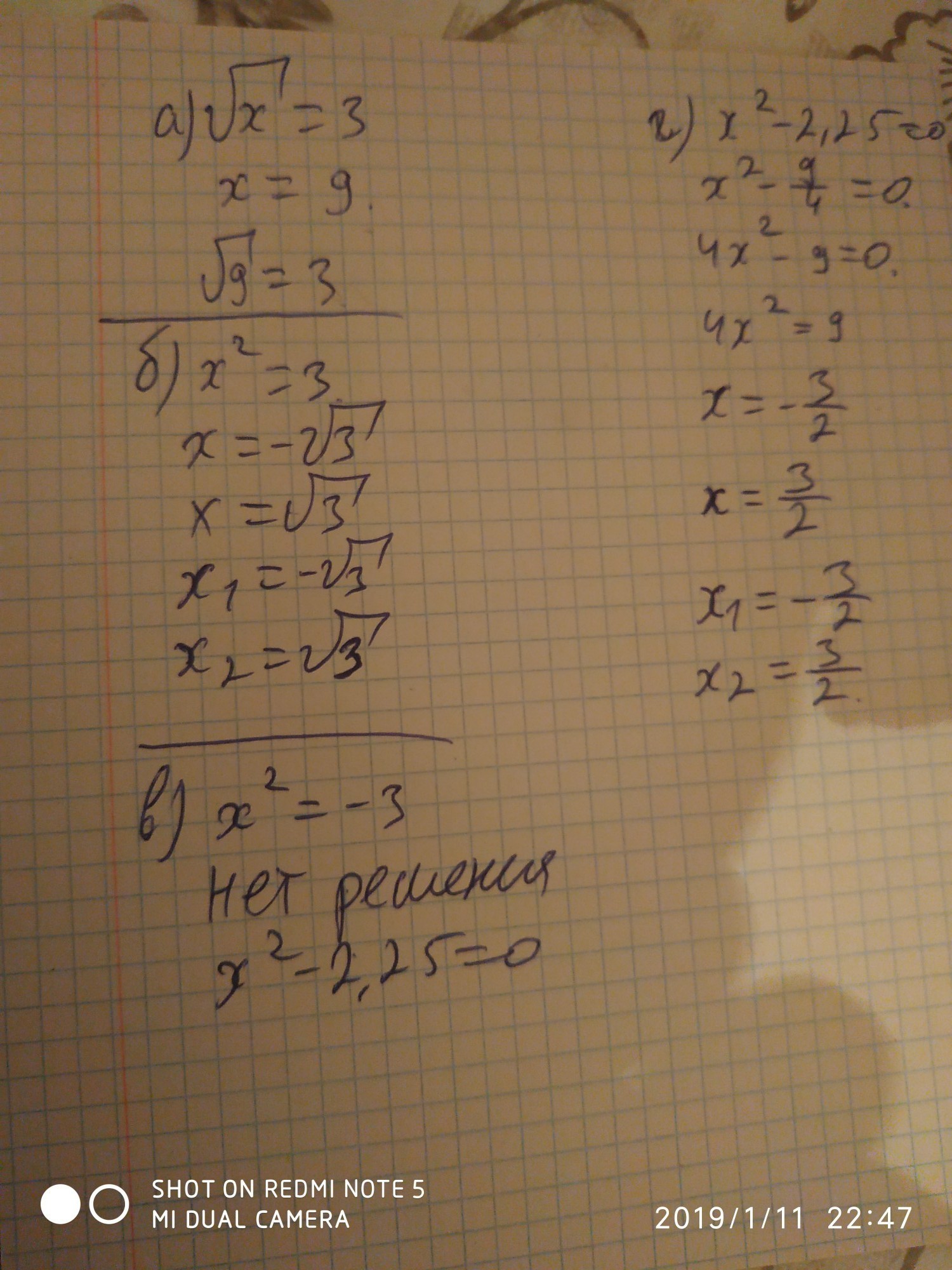
А)
x = 9
3 = 3
x = 9
Б) x² = 3
x =
x =
x₁ = -
В) x² = -3
x ∉ R
Г) x² - 2,25 = 0
х² -
4х² - 9 = 0
4х² = 9
x =
x =
x₁ =
Приложения:

Ответ дал:
0
спасибо большое
Вас заинтересует
2 года назад
2 года назад
3 года назад