Помогите пожалуйста!
Является ли данное выражение тождеством? Докажите. Укажите допустимые значения переменных.
выпишите отдельно ОДЗ для левой и правой части выражения. Совпадают ли они? Будет ли выражение тождеством?
Приложения:
Ответы
Ответ дал:
0
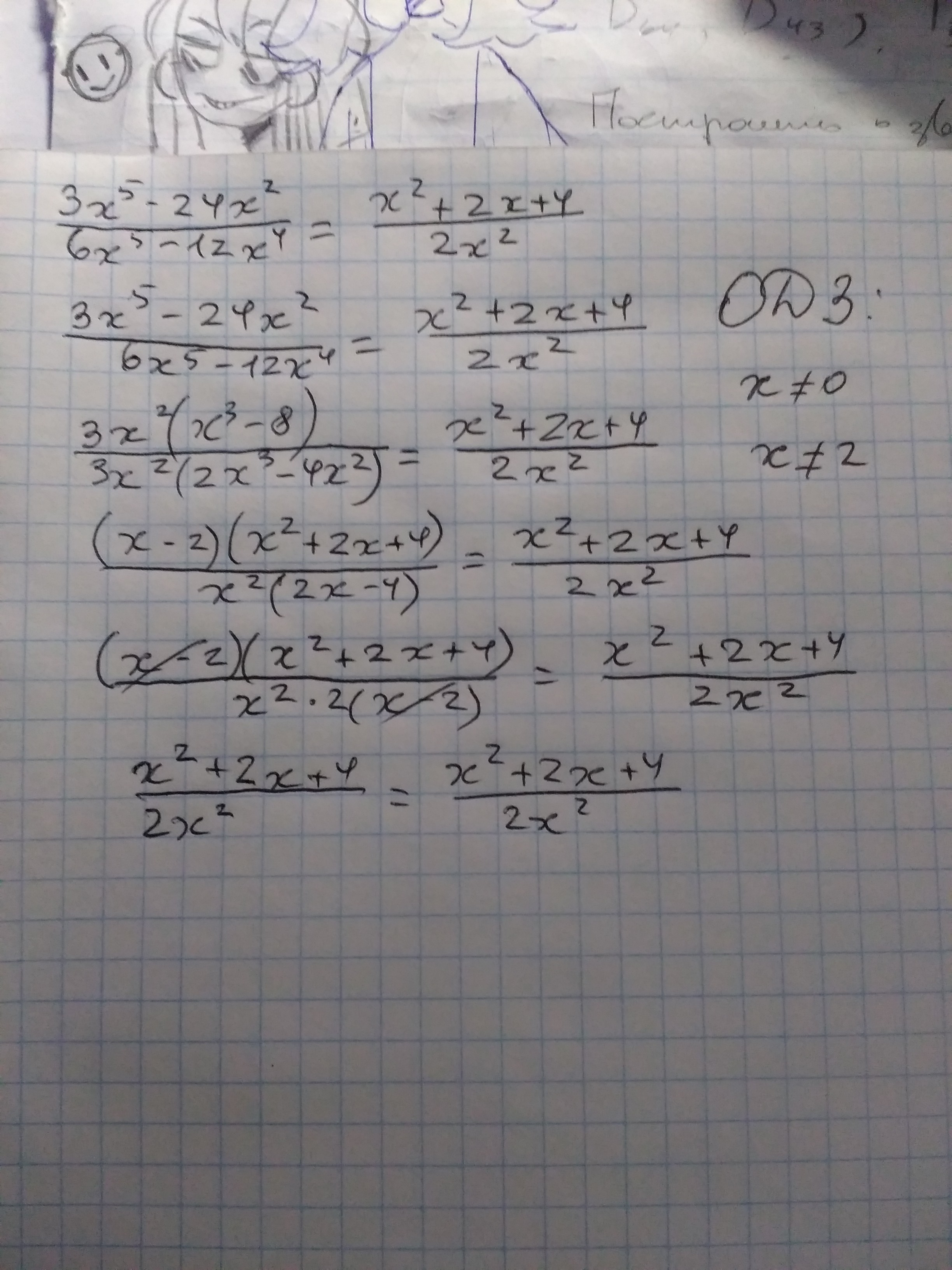
Тождеством является
(доказательство на фото ниже)
Приложения:
Ответ дал:
0
3х²(х³-8)/(6х⁴(х-2)=(х-2)(х²+2х+4)/2х²(х-2)=
(х²+2х+4)/2х²
ОДЗ
х≠0;х≠2
х€(-оо;0)+(0;2)+(2;+оо)
(х²+2х+4)/2х²
ОДЗ
х≠0;х≠2
х€(-оо;0)+(0;2)+(2;+оо)
Приложения:
Вас заинтересует
2 года назад
2 года назад
3 года назад
3 года назад
9 лет назад
9 лет назад
10 лет назад