Ответы
Ответ дал:
0
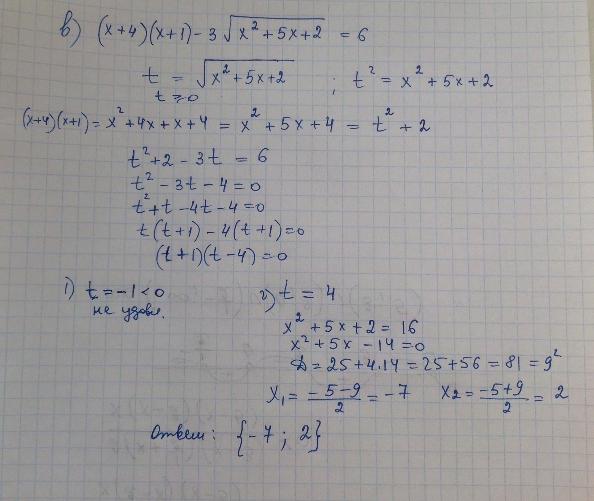
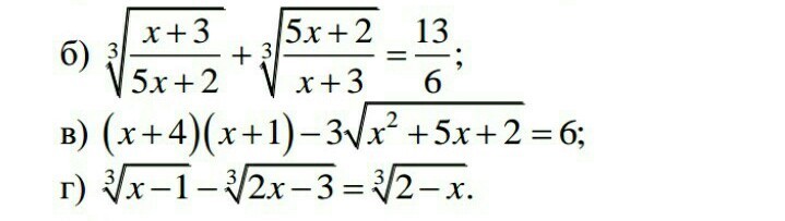
Ответ на фото/////////////
Приложения:



Вас заинтересует
2 года назад
3 года назад
3 года назад
9 лет назад
9 лет назад