Ответы
Ответ дал:
0
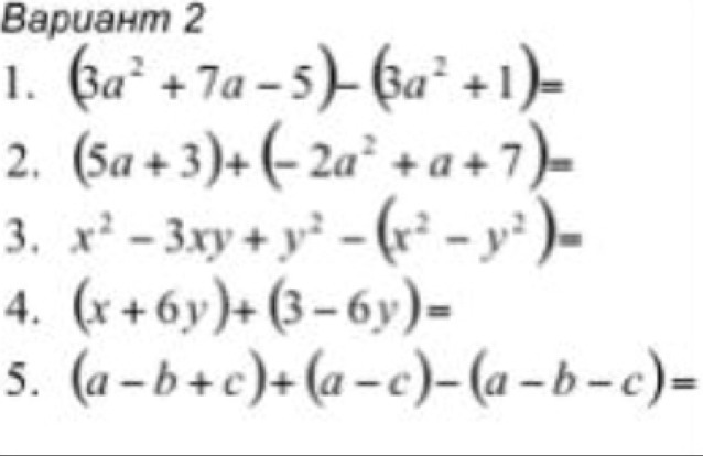
1) 3a²+7a-5-3a²-1= 7a-6
2) 5a+3-2a²+a+7= -2a²+6a+10
3) x²-3xy+y²-x²+y²= 2y²-3xy
4) x+6y+3-6y= x+3
5) a-b+c+a-c-a+b+c= a+c
Ответ дал:
0
вот если разберешся)
Приложения:

Ответ дал:
0
От души братан!
Вас заинтересует
2 года назад
3 года назад
3 года назад
9 лет назад
9 лет назад
9 лет назад