Ответы
Ответ дал:
0
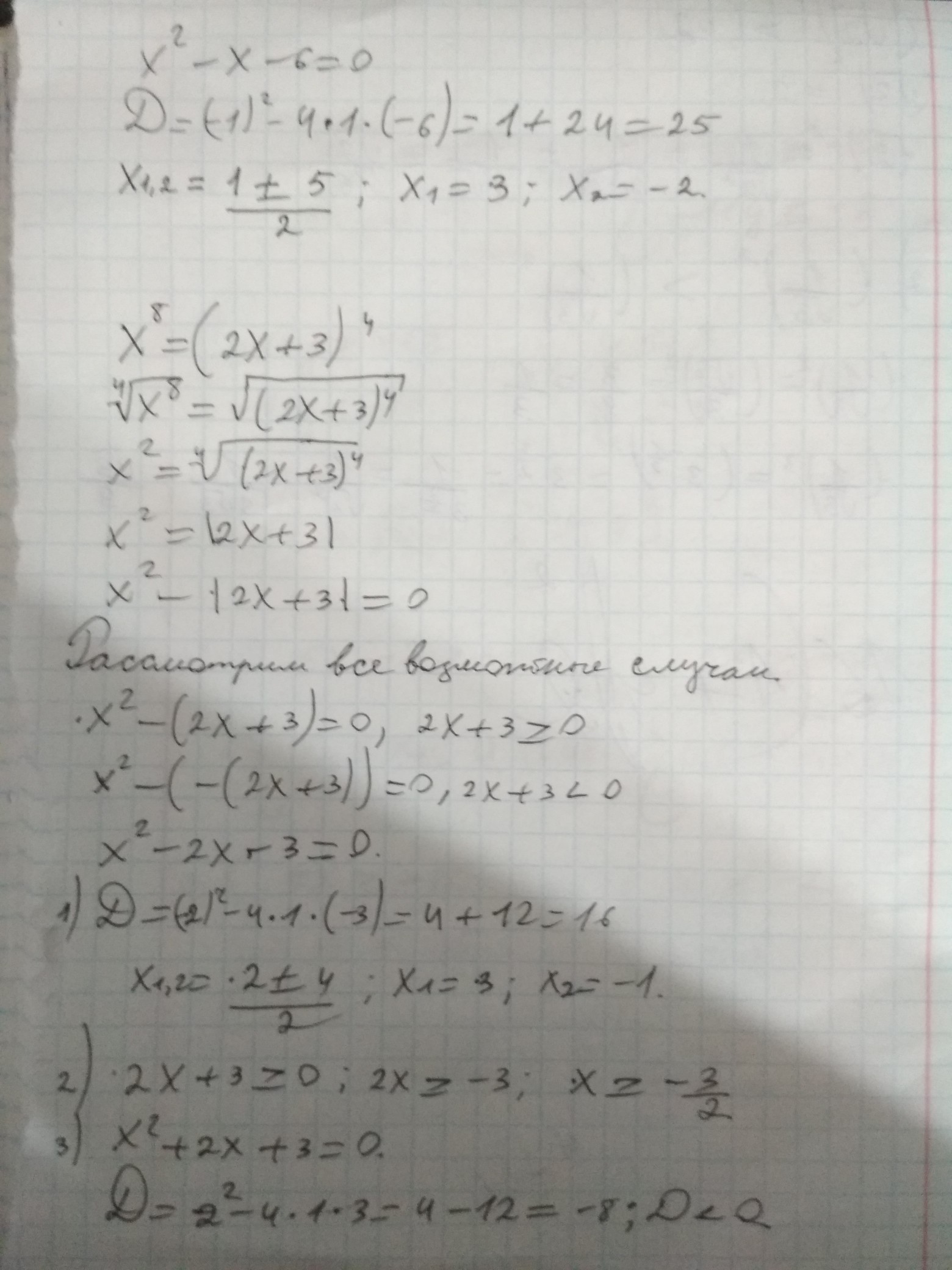
х^8=(2х+3)^4
извлечь корень
х^2=|2х+3|
переносим слагаемое
х^2-|2х+3|=0
х²-(2х+3)=0 , 2х+3≥0
х²-(-(2х+3))=0 , 2х+3<0
х=3
х=-1^х≥-3/2
х€ Ŕ , х<-3/2
х=-1
х=3
х€R
(1)x=-1
(2)x=3
извлечь корень
х^2=|2х+3|
переносим слагаемое
х^2-|2х+3|=0
х²-(2х+3)=0 , 2х+3≥0
х²-(-(2х+3))=0 , 2х+3<0
х=3
х=-1^х≥-3/2
х€ Ŕ , х<-3/2
х=-1
х=3
х€R
(1)x=-1
(2)x=3
Ответ дал:
0
*****TIGROVSKIY*****
Приложения:


Ответ дал:
0
А я не вам))
Ответ дал:
0
А кому?
Ответ дал:
0
Для других пользователей,которые будут читать этот ответ
Ответ дал:
0
И автору
Ответ дал:
0
Понятно
Вас заинтересует
2 года назад
3 года назад
9 лет назад
9 лет назад