Ответы
Ответ дал:
0
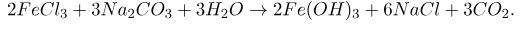
В результате взаимодействия хлорида железа (III) с водным раствором карбоната натрия (FeCl3 + Na2CO3 = ?) происходит образование нерастворимого в воде основания – гидроксида железа (III), средней соли хлорида натрия и выделение газа – оксида углерода (IV) (обмен). Молекулярное уравнение реакции имеет вид: см. вложение.
Приложения:

Вас заинтересует
2 года назад
2 года назад
9 лет назад