• Предмет: Алгебра
  • Автор: vbuslaeva602
  • Вопрос задан 8 лет назад

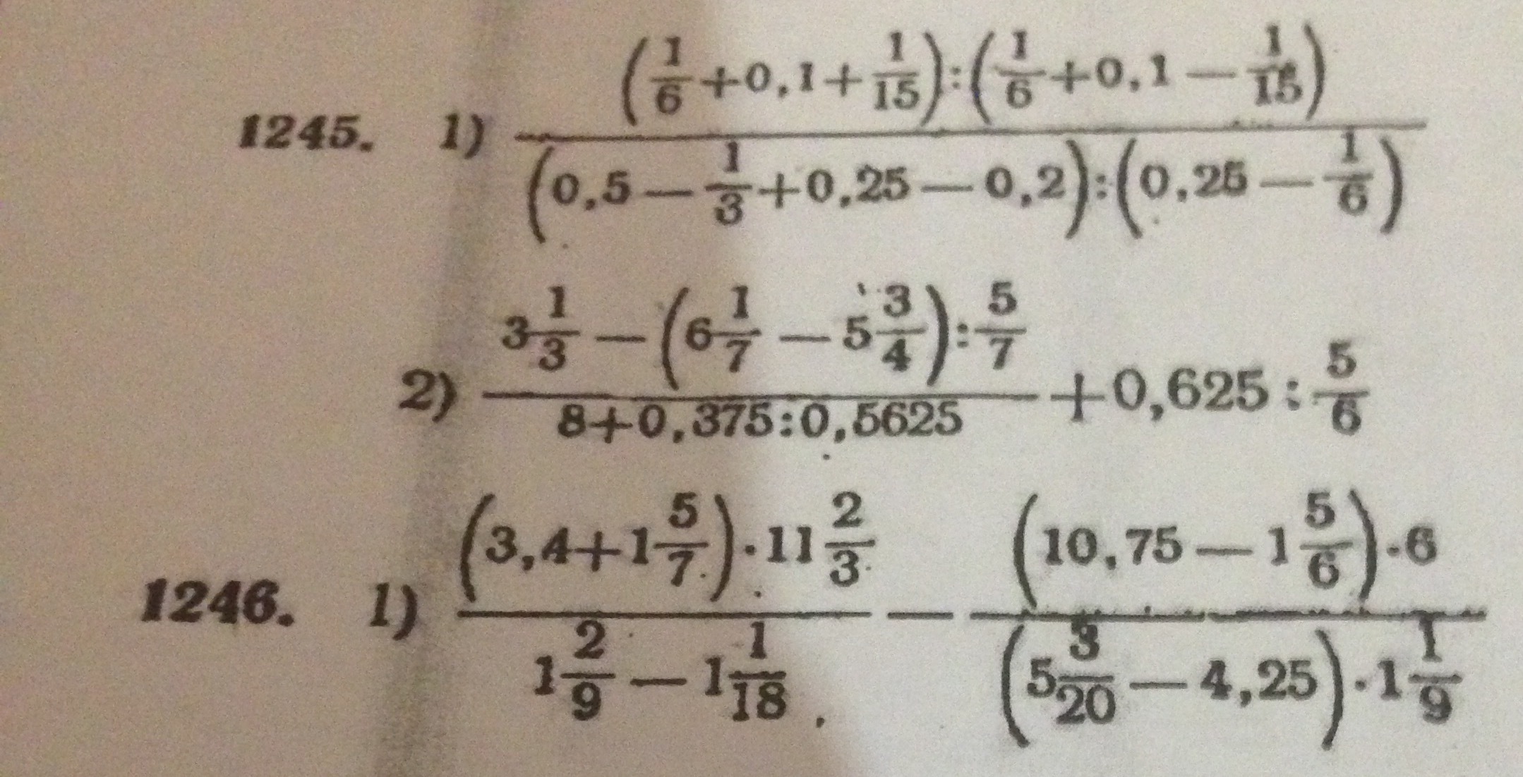
Помогите решить 3 этих примера!!! Срочно нужно!

Приложения:

Ответы

Ответ дал: marinabron73
0

1/6+1/10=8/30

8/30+1/15=10/30

8/30-1/15=6/30

10/30:6/30=10/6=5/3

1/2-1/3=1/6

0,25-0,2=0,05=1/20

1/6+1/20=13/60

0,25-1/6=1/12

13/60:1/12=13/5

5/3:13/5=25/39

Вас заинтересует