Ответы
Ответ дал:
0
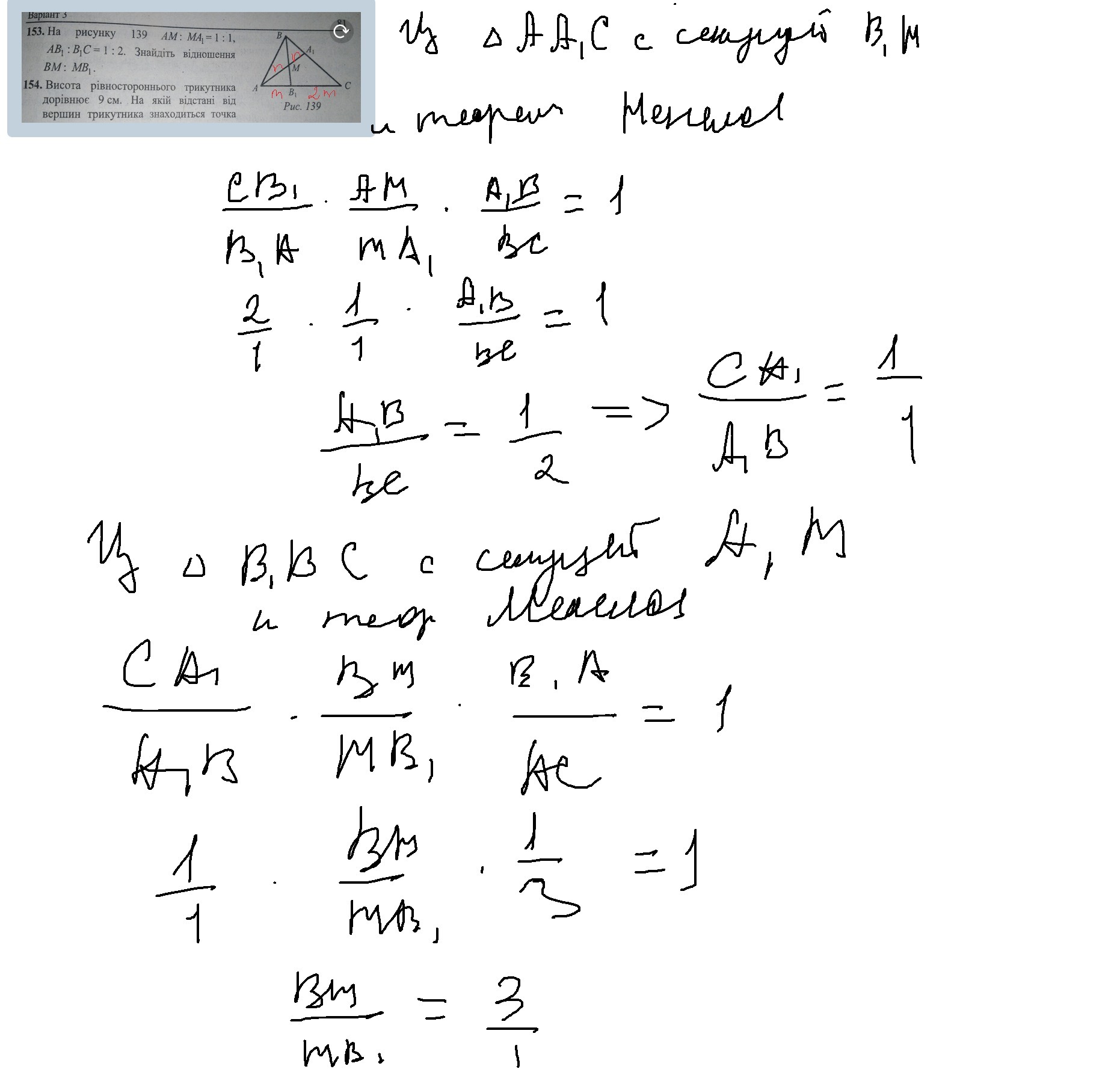
№153, помогите , пожалуйста. Можно проводить дополнительные построения
Приложения:

Ответ дал:
0
Спасибо большое, но мы это не проходили . Задача должна быть решена на основе теоремы Фалеса и пропорциональных отрезков
Ответ дал:
0
Решил, но не могу добавить файл. Вкратце: через А1 проведем прямую парал ВВ1 смотрим угол А1АС дальше теор Фалеса потом смотрим угол АСВ тоже поделенный этими прямыми и находим отношение ВА1 к А1С (тоже Фалеса)потом через В1 прямую паралл АА1 и уже теорему о пропор отрезках (обобщеннуюалеса)смотрим уголВ1ВС.
Ответ дал:
0
спасибо)
Вас заинтересует
2 года назад
2 года назад
3 года назад
3 года назад
8 лет назад
9 лет назад