• Предмет: Алгебра
  • Автор: BellatrixBlack
  • Вопрос задан 8 лет назад

Решите пожалуйста номер 12

Приложения:

Ответы

Ответ дал: ireena
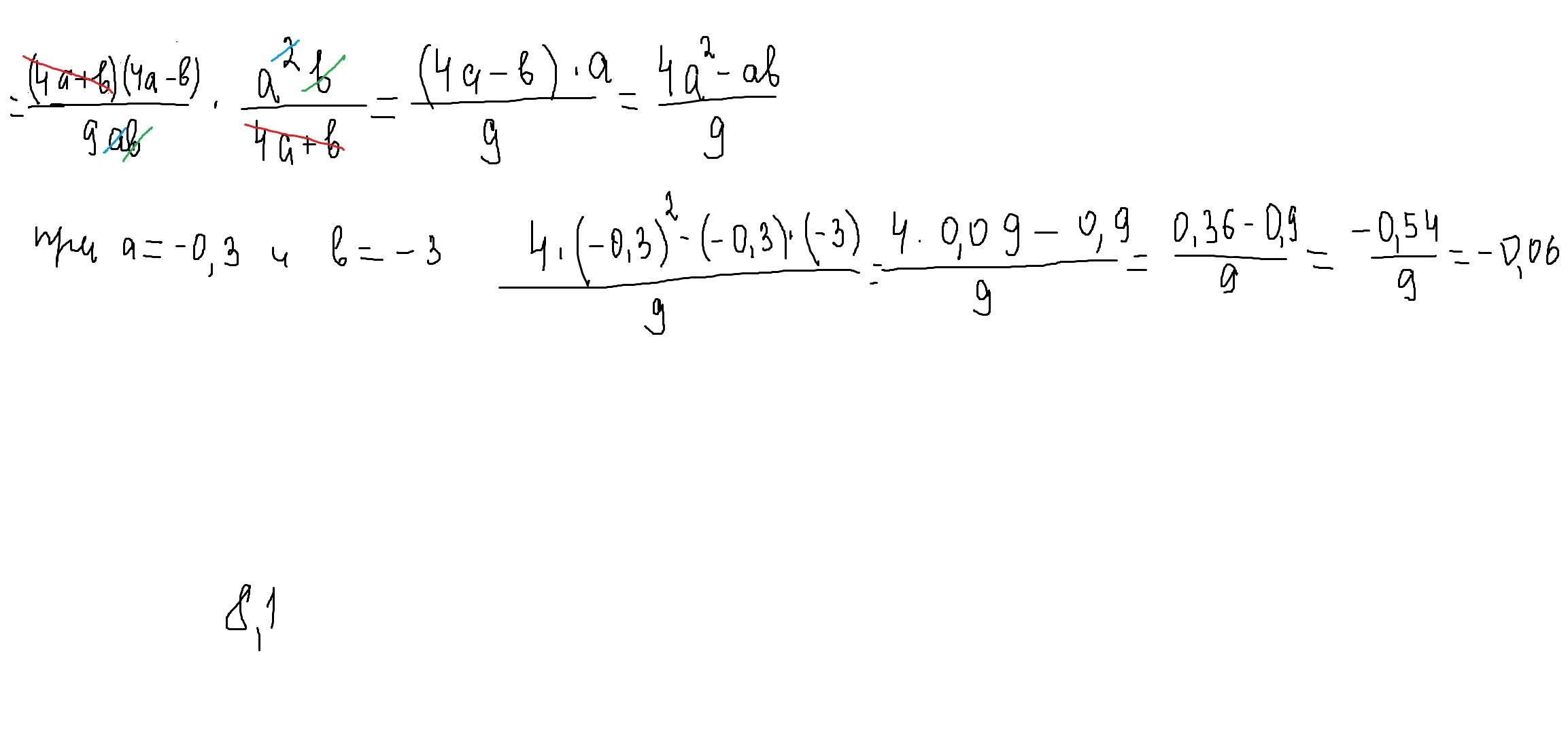
0

решение на фотографии

Приложения:
Ответ дал: parus77
0

решение смотри внизу

Приложения:
Вас заинтересует