Ответы
Ответ дал:
0
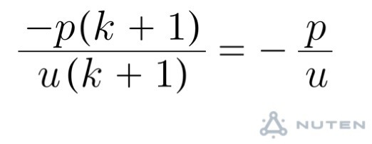
-p(k+1)/u(k+1)=-p/u
k+1 сокращается
k+1 сокращается
Ответ дал:
0
Ответ дан в приложении
Приложения:

Вас заинтересует
2 года назад
3 года назад
3 года назад
9 лет назад
9 лет назад