Ответы
Ответ дал:
0
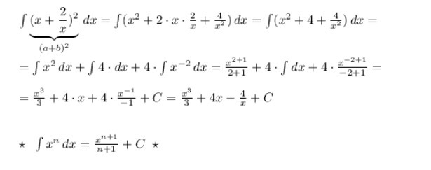
∫ (х + 2/х)²dx =∫(x² + 2*x* (2/x) +(2/x)²) dx =∫(x² +4+ 4/x²)dx =
= x³/3 +4x -4/x +C
как найти производную f⁾(x)= (x³/3)⁾ = (3*x³⁻¹)/3 = 3x²/3 =x²
при решении интеграла производим обратную операцию , находим первообразную , дана функция f(x)= x²,
найдем F(x) = х²⁺¹/3 +С = х³/3 +С , (знаменатель 3 новый показатель степени)
Ответ дал:
0
....................................................................................................................................
Приложения:

Вас заинтересует
2 года назад
2 года назад
3 года назад
3 года назад
9 лет назад
9 лет назад