• Предмет: Математика
  • Автор: соня1586
  • Вопрос задан 8 лет назад

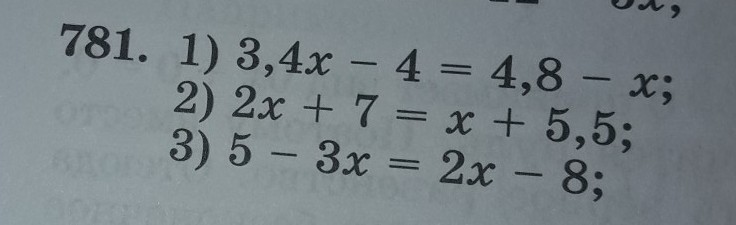
Помогите решить уровнения

Приложения:

Ответы

Ответ дал: phphhphh
0
Было не сложно помочь)
Приложения:
Вас заинтересует