Ответы
Ответ дал:
0
Ответ:
Пошаговое объяснение:
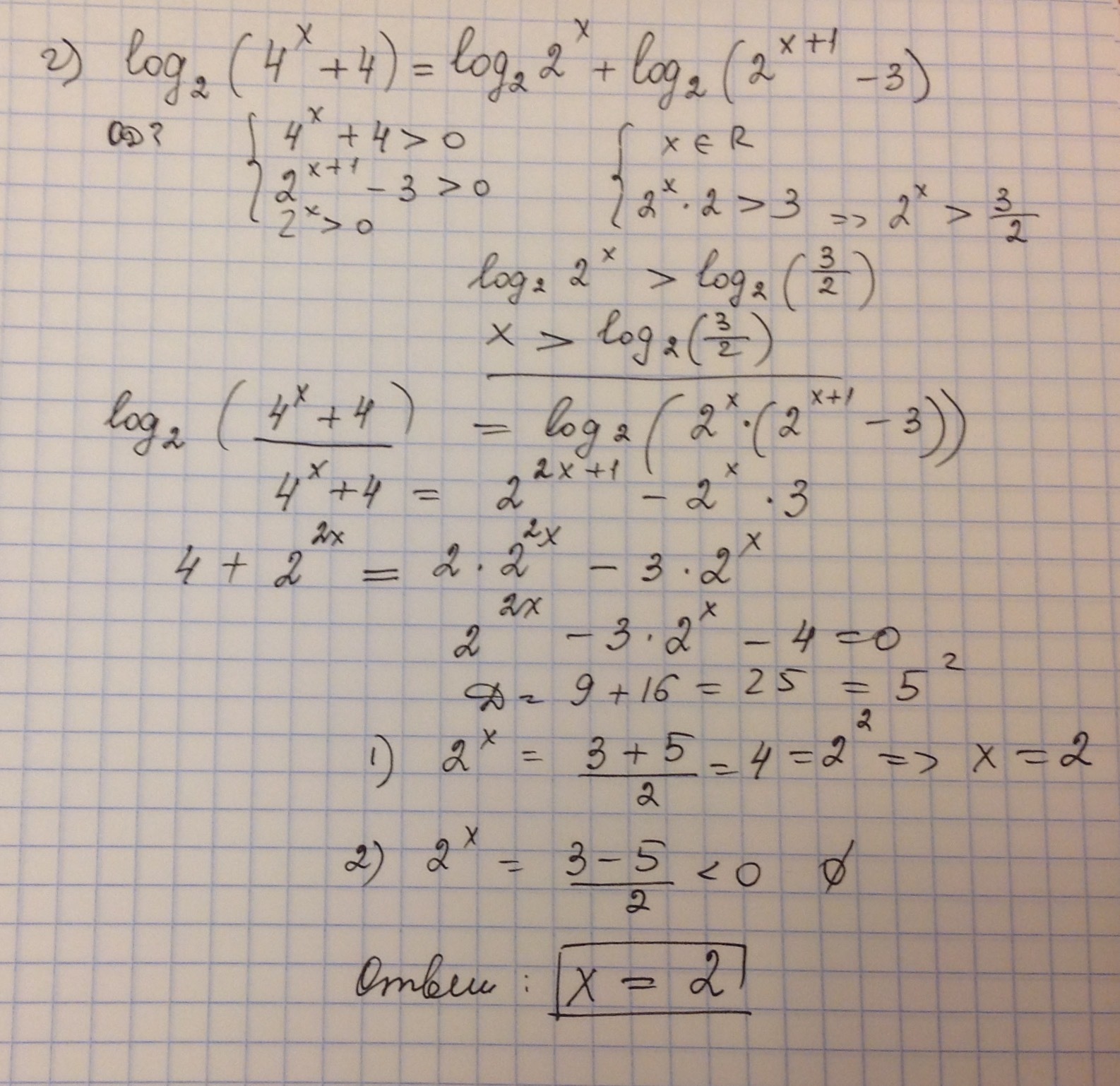
Ответ на фото/////////////////
Приложения:




Вас заинтересует
2 года назад
2 года назад
3 года назад
3 года назад
9 лет назад
9 лет назад
9 лет назад