• Предмет: Алгебра
  • Автор: Meziken
  • Вопрос задан 8 лет назад

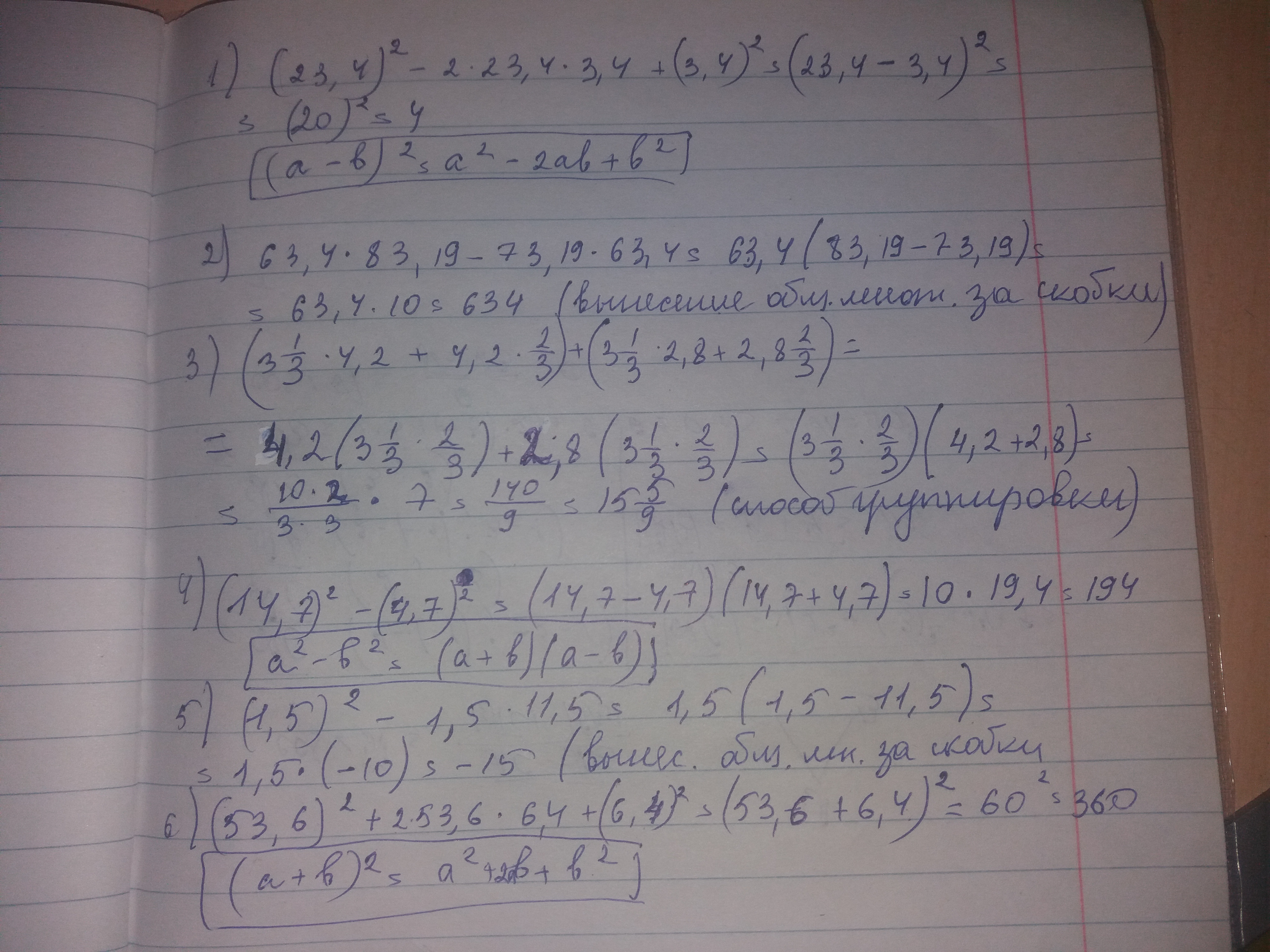
Вычислите рациональным способом, пожалюйста!

1) (23,4)2 - 2*23,4*3,4 + (3,4)2

2) 63,4*83,19 - 73,19*63,4

3) 3 1/3*4,2 + 4,2*2/4 + 3 1/3*2,8 + 2,8*2/3

4) (14,7)3 - (4,7)2

5) (1,5)2 - 1,5*11,5

6) (53,6)2 + 2*53,6*6,4 + (6,4)2

Приложения:

Ответы

Ответ дал: allasinelnikova01
0

Использование формул сокращенного умножения

Приложения:
Ответ дал: Meziken
0
Спасибо вам огромное!
Ответ дал: allasinelnikova01
0
Я не заметила как в первом сделала ошибку( 20^2= 400)
Вас заинтересует