Ответы
Ответ дал:
0
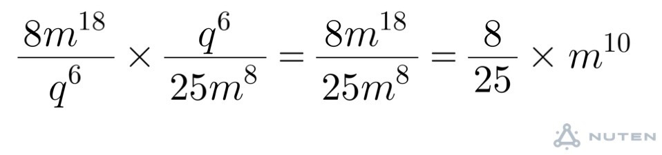
При раскрытии скобок показатели степеней перемножаются
А при делении степени с одинаковыми основаниями вычитаются
Приложения:

Ответ дал:
0
Это точно?
Ответ дал:
0
Спасибо большое
Ответ дал:
0
Точно, пожалуйста)
Ответ дал:
0
Решение задания приложено
Приложения:

Вас заинтересует
2 года назад
3 года назад
3 года назад
8 лет назад
8 лет назад
9 лет назад
9 лет назад