Ответы
Ответ дал:
0
Ответ:
Пошаговое объяснение:
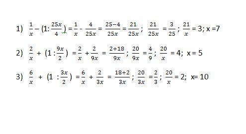
для решения сначала вычислим левую сторону, потом подставим вычисленное в уравнение
для вычисления левой стороны упростим второй член суммы (или разности)
получится то, что на рисунке
Приложения:

Вас заинтересует
2 года назад
3 года назад
3 года назад
8 лет назад
8 лет назад
9 лет назад