• Предмет: Алгебра
  • Автор: gxn17509
  • Вопрос задан 8 лет назад

ПОмОГИТЕ СРОЧНО!!!!!!!!!!!!!!!!!!!!

Приложения:

Ответы

Ответ дал: maksimcat
0

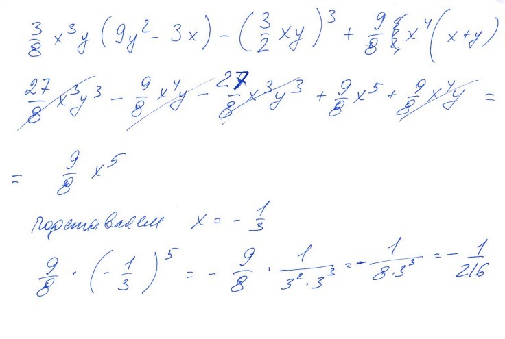
Ответ на фото////////////////

Приложения:
Ответ дал: xkd82144
0
ПОмОГИТЕ ПОЖАЛУЙСТА https://znanija.com/task/31199863
Ответ дал: Lod2000
0

см. вложение...........................

Приложения:
Ответ дал: xkd82144
0
ПОмОГИТЕ ПОЖАЛУЙСТА https://znanija.com/task/31199863
Вас заинтересует