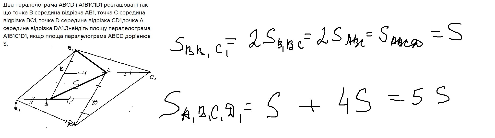
Два паралелограма ABCD i A1B1C1D1 розташовані так що точка В середина відрізка АВ1, точка С середина відрізка ВС1, точка D середина відрізка СD1,точка А середина відрізка DA1.Знайдіть площу паралелограма A1B1C1D1, якщо площа паралелограма ABCD дорівнює S.
Ответы
Ответ дал:
0
Два паралелограма ABCD i
Приложения:
Вас заинтересует
2 года назад
2 года назад
3 года назад
3 года назад
9 лет назад
9 лет назад
10 лет назад