Ответы
Ответ дал:
0
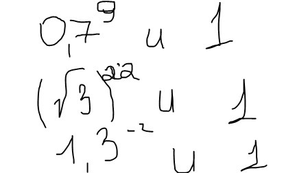
1.) чем больше степень, тем дробное число будет меньше, поэтому 0,7❜ < 1
2.) (✓3)²²= 3¹¹, ну а 3¹¹>1
3.) 1,3`²=(13/10)`² получается дробное число, и, значит 1,3`²<1
2.) (✓3)²²= 3¹¹, ну а 3¹¹>1
3.) 1,3`²=(13/10)`² получается дробное число, и, значит 1,3`²<1
Ответ дал:
0
1) Дробное число в любой положительной степени будет меньше единицы. (0.7)^9 < 1
2) Любое подкоренное выражение в любой положительной степени будет больше единицы (√3)^22 > 1
3) 1.3^-2=1/(1.3^2)=1/1.69 < 1
Вас заинтересует
2 года назад
2 года назад
3 года назад
3 года назад
9 лет назад
9 лет назад
10 лет назад